Đây mới đúng là câu hỏi khó trong đề Toán tốt nghiệp THPT 2024 khiến 3 giáo sư không giải nổi: GPT thử sức cũng sai bét nhè!

Thanh Hương,

Câu hỏi này có nội dung ra sao?

Mới đây, trao đổi với Vietnamnet, Giáo sư Đỗ Đức Thái (giảng viên khoa Toán - Tin của Trường ĐH Sư phạm Hà Nội) cho biết, ông đã có nhầm lẫn khi chia sẻ về câu hỏi Toán khó trong đề thi tốt nghiệp THPT 2024. 

Cụ thể, tại buổi tập huấn dành cho giảng viên các trường đại học đào tạo giáo viên do Trường Đại học Sư phạm Hà Nội tổ chức sáng 10/4, Giáo sư Đỗ Đức Thái đã chia sẻ một tình huống thực tế. Theo ông, ba giáo sư của khoa, bao gồm chính ông, đã không thể giải được một câu hỏi trong đề thi tốt nghiệp THPT môn Toán năm 2024 (câu 44, mã đề 109), dù dành cả một buổi chiều để tìm lời giải. 

Thực tế, câu hỏi gây khó cho 3 vị giáo sư không phải câu 44 mã đề 109 mà là câu 44 mã đề 102. Giáo sư Đỗ Đức Thái đã bị nhầm lẫn ở mã đề thi.

Chia sẻ với Vietnamnet, Giáo sư Đỗ Đức Thái nói thêm: "Việc này cũng một phần do khuôn khổ của buổi tập huấn có hạn, tôi đã không trình chiếu câu hỏi đó lên màn hình để xem lại về mã đề".

Theo đó, câu 44 mã đề 102 có nội dung như sau:

Đây mới đúng là câu hỏi khó trong đề Toán tốt nghiệp THPT 2024 khiến 3 giáo sư không giải nổi: GPT thử sức cũng sai bét nhè! - Ảnh 1.

ChatGPT thử sức cũng giải sai:

Khi đưa câu Toán này cho ChatGPT thử giải, công cụ này đưa ra đáp án là C với cách giải như sau:

Đây mới đúng là câu hỏi khó trong đề Toán tốt nghiệp THPT 2024 khiến 3 giáo sư không giải nổi: GPT thử sức cũng sai bét nhè! - Ảnh 2.

Đây mới đúng là câu hỏi khó trong đề Toán tốt nghiệp THPT 2024 khiến 3 giáo sư không giải nổi: GPT thử sức cũng sai bét nhè! - Ảnh 3.

Đây mới đúng là câu hỏi khó trong đề Toán tốt nghiệp THPT 2024 khiến 3 giáo sư không giải nổi: GPT thử sức cũng sai bét nhè! - Ảnh 4.

Đây mới đúng là câu hỏi khó trong đề Toán tốt nghiệp THPT 2024 khiến 3 giáo sư không giải nổi: GPT thử sức cũng sai bét nhè! - Ảnh 5.

Đây mới đúng là câu hỏi khó trong đề Toán tốt nghiệp THPT 2024 khiến 3 giáo sư không giải nổi: GPT thử sức cũng sai bét nhè! - Ảnh 6.

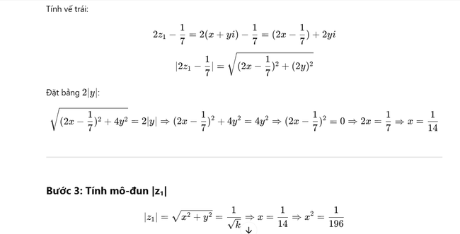
Thực tế, đáp án câu hỏi 44 ở mã đề 102 theo Bộ GD-ĐT công bố là phương án D. Tham khảo cách giải dưới đây:

Đây mới đúng là câu hỏi khó trong đề Toán tốt nghiệp THPT 2024 khiến 3 giáo sư không giải nổi: GPT thử sức cũng sai bét nhè! - Ảnh 7.

(Tổng hợp)

Chia sẻ