TP.HCM công bố chỉ tiêu vào lớp 10 công lập năm học 2026-2027

Như Thuý/VTC News,

Ngày 29/4, Sở Giáo dục và Đào tạo TP.HCM đã công bố chỉ tiêu tuyển sinh lớp 10 công lập TP.HCM năm học 2026-2027.

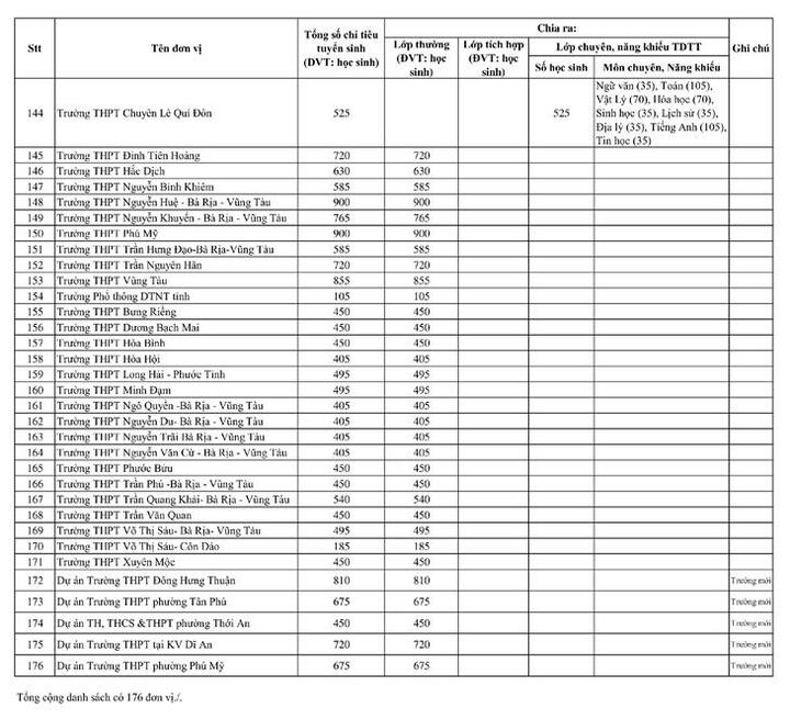
Theo thông tin từ Sở Giáo dục và Đào tạo TP.HCM, năm học 2026-2027, 176 trường THPT công lập sẽ tuyển khoảng 117.355 học sinh lớp 10.

Ngoài ra, 41 trung tâm giáo dục thường xuyên - giáo dục nghề nghiệp công lập tuyển thêm 16.226 học sinh. 5 trường THPT, phổ thông liên cấp trực thuộc ĐH, trường ĐH tuyển khoảng 1.195 chỉ tiêu.

Trong khi đó, số học sinh tốt nghiệp lớp 9 năm học 2025 - 2026 dự kiến đạt 169.080 em, tăng 42.734 em so với năm trước. Cụ thể, khu vực 1 (TP.HCM) tăng 27.106 học sinh; khu vực 2 (Bình Dương) tăng 8.419 học sinh; khu vực 3 (Bà Rịa - Vũng Tàu) tăng 7.209 học sinh.

Tỷ lệ học sinh hoàn thành lớp 9 vào học lớp 10 công lập (gồm THPT và trung tâm giáo dục thường xuyên) đạt khoảng 79%.

Cụ thể chỉ tiêu tuyển sinh lớp 10 các trường công lập

Chỉ tiêu tuyển sinh của 41 Trung tâm GDTX-GDNN XEM TẠI ĐÂY

Chỉ tiêu tuyển sinh các trường phổ thông trực thuộc ĐH XEM TẠI ĐÂY

Trước đó, từ ngày 22/4 đến ngày 28/4, thí sinh đã đăng ký nguyện vọng vào các trường THPT công lập lớp thường. Trong thời gian này, học sinh cũng đăng ký loại hình dự thi vào lớp 10 gồm: lớp 10 thường, lớp 10 chuyên và lớp 10 tích hợp.

Giai đoạn 2: Dự kiến từ ngày 4/5 đến ngày 8/5, điều chỉnh nguyện vọng lần cuối cùng.

Sở GD&ĐT TP.HCM lưu ý, thí sinh phải xác định và đăng ký dự thi (hệ thường, chuyên, Đề án tiếng Anh 5695) với ít nhất 1 nguyện vọng cho mỗi loại hình ngay trong giai đoạn 1.

Giai đoạn 2, thí sinh sẽ có 5 ngày điều chỉnh nguyện vọng, từ 17h ngày 4/5 đến 17h ngày 8/5 (chỉ điều chỉnh, không cho phép đăng ký thi mới).

Kết thúc giai đoạn 2 đăng ký, Sở Giáo dục và Đào tạo chịu trách nhiệm đồng bộ dữ liệu đăng ký nguyện vọng của thí sinh, tính toán khoảng cách từ nơi ở của thí sinh đến từng trường trong 3 nguyện vọng và cập nhật vào hệ thống quản lý thi của sở.

Kỳ thi tuyển sinh lớp 10 tại TP.HCM năm học 2026-2027 diễn ra trong 2 ngày 1 và 2/6.

Thí sinh sẽ dự thi 3 môn Văn, Toán và Ngoại ngữ.

Đối với thí sinh dự thi chuyên/tích hợp sẽ làm thêm bài thi môn chuyên/tích hợp vào chiều 2/6.

Năm nay, TP.HCM có 4 trường THPT tuyển lớp 10 chuyên gồm: THPT chuyên Lê Hồng Phong, THPT chuyên Trần Đại Nghĩa, THPT chuyên Hùng Vương và THPT chuyên Lê Quý Đôn.

Chia sẻ