Danh sách gần 300 ô tô bị phạt nguội ở Hà Nội trong tháng 1

MINH TUỆ/VTC News,

Trong tháng đầu tiên áp dụng Nghị định 168, Phòng CSGT Công an TP Hà Nội ghi nhận gần 300 ô tô bị phạt nguội.

Ngày 10/2, Phòng CSGT Công an TP Hà Nội thông báo danh sách ô tô vi phạm trật tự an toàn giao thông trong từ 1/1 đến 31/1, được phát hiện qua hệ thống giám sát.

Các chủ phương tiện có tên trong danh sách có thể tra cứu thông tin vi phạm tại trang web Cục CSGT: www.csgt.vn hoặc liên hệ Đội Chỉ huy giao thông và điều khiển đèn tín hiệu giao thông - Phòng CSGT Hà Nội (54 Trần Hưng Đạo, quận Hoàn Kiếm, Hà Nội, SĐT 0692196440), hoặc liên hệ xử lý tại Đội CSGT - Trật tự, công an quận, huyện nơi đăng ký hộ khẩu thường trú.

Danh sách gần 300 ô tô bị phạt nguội ở Hà Nội trong tháng 1 - Ảnh 1.


Danh sách gần 300 ô tô bị phạt nguội ở Hà Nội trong tháng 1 - Ảnh 2.


Danh sách gần 300 ô tô bị phạt nguội ở Hà Nội trong tháng 1 - Ảnh 3.


Danh sách gần 300 ô tô bị phạt nguội ở Hà Nội trong tháng 1 - Ảnh 4.


Danh sách gần 300 ô tô bị phạt nguội ở Hà Nội trong tháng 1 - Ảnh 5.


Danh sách gần 300 ô tô bị phạt nguội ở Hà Nội trong tháng 1 - Ảnh 6.


Danh sách gần 300 ô tô bị phạt nguội ở Hà Nội trong tháng 1 - Ảnh 7.


Danh sách gần 300 ô tô bị phạt nguội ở Hà Nội trong tháng 1 - Ảnh 8.


Danh sách gần 300 ô tô bị phạt nguội ở Hà Nội trong tháng 1 - Ảnh 9.


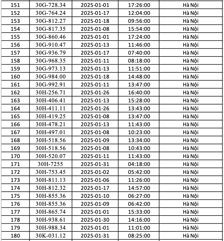
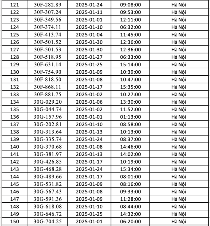
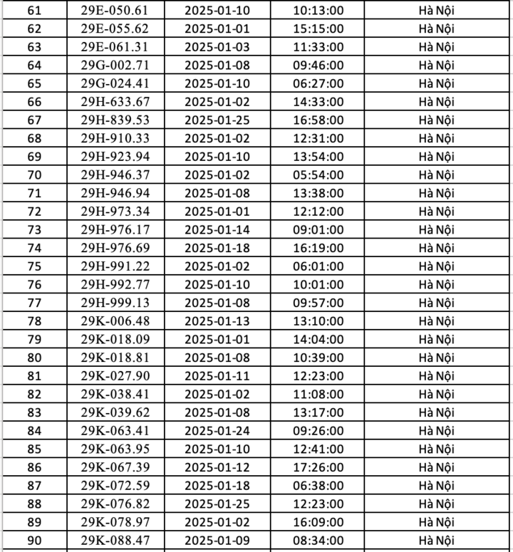
Danh sách gần 300 ô tô bị phạt nguội ở Hà Nội trong tháng 1 - Ảnh 10.

Danh sách gần 300 lượt phương tiện bị phạt nguội ở Hà Nội trong tháng 1/2025.

Từ 1/1 đến 31/1, lực lượng CSGT toàn quốc phát hiện, xử lý 327.349 trường hợp, tước quyền sử dụng giấy phép lái xe, chứng chỉ chuyên môn 27.820 trường hợp; 28.762 giấy phép lái xe bị trừ điểm; tạm giữ 1.823 ô tô, 93.766 mô tô.

So với thời gian trước liền kề, xử phạt giảm 48.160 trường hợp. Trong đó, vi phạm nồng độ cồn giảm 10.484 trường hợp; vi phạm tốc độ giảm 1.545 trường hợp; người điều khiển xe trên đường mà trong cơ thể có chất ma túy giảm 161 trường hợp; vi phạm quá tải trọng, quá khổ, cơi nới thành thùng giảm 3.564 trường hợp; chở quá số người quy định giảm 2.299 trường hợp.

Vi phạm phần đường, làn đường giảm 5.097 trường hợp; không chấp hành hiệu lệnh tín hiệu đèn giao thông giảm 2.957 trường hợp; không chấp hành hiệu lệnh của người điều khiển giao thông giảm 127 trường hợp, vi phạm về mũ bảo hiểm giảm 10.362 trường hợp...

Chia sẻ